1,1 Buen borde cálido
Los materiales de sellado de bordes de vidrio aislante incluyen tiras de aluminio, materiales de acero y acero inoxidable, materiales de silicio orgánico, etc. Debido a la diferente conductividad térmica de sus materiales, la conducción de calor formada en los bordes del vidrio aislante también varía mucho. La Tabla 1 muestra la conductividad térmica de diferentes tipos de materiales utilizados para el vidrio aislante.
Tabla 1 Conductividad térmica de diferentes materiales:
Ciencia material | Conductividad térmica [W/(K M *)] |
Aluminio | 160 |
Acero | 50 |
Acero inoxidable | 17 |
Vidrio | 1 |
Sellador de silicio | 0,35 |
Material TPS (tipo de caucho butílico) | 0,3 |
El sistema de sellado de bordes compuesto por diferentes tipos de materiales producirá diferentes efectos de conductividad térmica. Los espaciadores termoplásticos (TPS) abandonan los buenos metales de transferencia de calor como el aluminio y el acero inoxidable utilizados en los espaciadores de vidrio aislante tradicionales. El Coeficiente de conductividad térmica lineal del vidrio aislante hecho con TPS es mucho más bajo que el de los productos tradicionales, bloqueando la disipación de calor en el borde del vidrio y mejorando el efecto de ahorro de energía de toda la ventana.
La Imagen 1 muestra una comparación entre el vidrio aislado de aluminio ranurado tradicional y el vidrio aislado TPS espaciador termoplástico bajo formación de imágenes térmicas. Se puede ver en la imagen 1 que debido al uso de aluminio y otros materiales metálicos como materiales espaciadores en los sistemas tradicionales de sellado de bordes, la conductividad térmica es alta, lo que facilita que el calor pase a través del vidrio aislado desde el área de sellado del borde, lo que da como resultado temperaturas más bajas en los bordes.
Imagen 1
Con la mejora de la calidad de vida de las personas, la demanda de un entorno de vida cómodo también está aumentando. El efecto de borde cálido traído por el sistema de sellado de barrera termoplástica (TPS) es propicio para estabilizar la temperatura interior, reducir la convección del aire y proporcionar un ambiente interior más cómodo. Debido a la presencia del sistema de borde cálido, también reduce la condensación de la niebla de agua en el borde del vidrio de la ventana y reduce el costo de mantenimiento del marco de la ventana (Ver imagen 2)
Imagen 2
1,2 Baja permeabilidad al vapor de agua
El espaciador termoplástico (TPS) adopta un caucho de butilo especial mezclado con tamiz molecular para el moldeo por extrusión directa, y la consistencia del material de sellado es buena. Al mismo tiempo, debido a la estrecha unión química entre los espaciadores termoplásticos y el vidrio y el adhesivo de silicona, la estructura de vidrio hueco es más estable y la Unión es más firme. La Tabla 2 muestra el vapor de agua y la permeabilidad a los gases de diferentes materiales de sellado. Se puede ver que el material de caucho de butilo tiene una mejor capacidad de barrera de vapor de agua y gas que el caucho de silicona y el caucho de polisulfuro, formando una mejor barrera para evitar que entre vapor de agua y fugas de gas, que es propicio para mantener el rendimiento de sellado del vidrio aislante durante mucho tiempo y garantizar un rendimiento de ahorro de energía (Como se muestra en la siguiente imagen 3 ).

Tabla 2 Transmitancia de vapor de agua y gas de diferentes materiales de sellado
Ciencia material | Permeabilidad de gas g/(m ² 24h) | Transmitancia de vapor de agua g/(m ² 24h) |
Adhesivo polisulfuro | 0,03-0,1 | 5-10 |
Adhesivo de silicona | ≥ 20 | 15-20 |
Caucho de butilo | 0.002-0.005 | ≤ 0,9 |
1,3 Proceso de producción completamente automático
La producción de vidrio aislante del sistema TPS se completa con el sistema automático al mismo tiempo de carga de vidrio, eliminación de película de vidrio, limpieza y secado, revestimiento de tiras termoplásticas, laminación neumática y revestimiento de pegamento exterior, evitar errores e inconsistencias causadas por la operación manual, y lograr un alto grado de uniformidad de sellado de esquinas, Elimina por completo el mal prensado en las esquinas y el sellado del vidrio aislante de aluminio tradicional, y es adecuado para la producción de vidrio aislante de cualquier tipo, tamaño y forma (como se muestra en la Figura 7).

Figura 7 Unión de bordes del sistema de vidrio aislante del espaciador termoplástico (TPS)
Impacto 2,1 del entorno de servicio en el vidrio aislante
Como se muestra en la Figura 8, el vidrio aislante se verá afectado por varios factores externos durante el uso

Figura 8 Factores de impacto ambiental durante el uso de vidrio aislante
En particular, debido a los frecuentes cambios de temperatura y presión ambiente, el gas en la cavidad del vidrio aislante siempre está en el estado de expansión térmica o contracción en frío, como se muestra en la Figura 9, que hace que el sellador se encuentre bajo estrés a largo plazo. Para el sistema tradicional de doble sellado, el efecto de esta fuerza conducirá a la deformación y pérdida de la función del sellador, Y la humedad en el medio ambiente impregnará constantemente desde el borde del vidrio aislante hasta la cavidad media. Al mismo tiempo, el efecto de los rayos ultravioleta, el agua y otros gases corrosivos en el medio ambiente acelerará el envejecimiento del sellador, acelerando así la velocidad del vapor de agua que entra en la cavidad Media y el escape del argón lleno. Este Tipo de infiltración de vapor de agua ocurre en cualquier momento. El desecante en el sistema de sellado del borde eventualmente perderá su capacidad de adsorción de vapor de agua debido a la adsorción continua de moléculas de agua, que conducirá al aumento del contenido de vapor de agua en la cavidad del vidrio aislante y falla del sello, lo que lleva a un menor efecto de ahorro de energía. Debido a que el sistema de sellado del espaciador termoplástico tiene cierta elasticidad, puede liberar efectivamente la tensión del borde cuando cambia el entorno. Al mismo tiempo, el espaciador termoplástico tiene una fuerza cohesiva más alta para resistir los cambios llevados por la carga para garantizar la estabilidad de la estructura de sellado.

Figura 9 Vidrio aislante de aluminio de canal tradicional
Y diagrama esquemático de cambios en el uso del sistema de tira espaciadora termoplástica (TPS)
Para el vidrio aislante de tres y dos cavidades comúnmente utilizado en el vidrio pasivo de la sala del nuevo concepto de edificio de ahorro de energía (como se muestra en la Figura 10), el vidrio a ambos lados del vidrio aislante será sometido a la acción de otro CALa gravedad y generar una mayor tensión, lo que conducirá a la deformación del caucho de butilo, reducirá el efecto del primer sello, aumentará el canal de vapor de agua y hará que el vidrio aislante falle más rápido, las ventajas de sellado de los espaciadores termoplásticos serán más obvias.

Figura 10 Vidrio de tres y dos cavidades de vidrio aislante
Cambio de sellador
Factores 2,2 que afectan la vida útil del vidrio aislante
De acuerdo con los requisitos GB50096-2011 Código para el diseño de edificios residenciales, la vida útil de los edificios no debe ser inferior a 50 años. Como parte importante del edificio, la vida útil del vidrio aislante utilizado por puertas, ventanas y muros cortina ha atraído la atención de la industria. Se menciona en el Apéndice A "Causas de falla y vida útil del vidrio aislante" del estándar de vidrio aislante GB/T11944-2012 que la vida útil esperada del vidrio aislante debe ser de al menos 15 años. Sin embargo, en la actualidad, la vida útil general del sellado del vidrio aislante en China sigue siendo relativamente baja, y el fabricante general no se atreve a prometer una garantía de 10 años. Por lo tanto, todavía estamos lejos de los requisitos estándar y los requisitos de uso del edificio.
Como se mencionó anteriormente, la vida útil del vidrio aislante está directamente relacionada con la calidad de los materiales de borde (como espaciador, desecante, sellador) y el proceso de fabricación de vidrio aislante. La vida útil del vidrio aislante también se ve afectada por la condición de instalación y el entorno de servicio.
En 3,1, introducimos la influencia del entorno externo en la vida útil del vidrio aislante. Además de los factores externos, ¿qué otros factores afectan la vida útil del vidrio aislante? La calidad del sellado del borde está directamente relacionada con la durabilidad del sellado del vidrio aislante. El Uso de sellador con baja permeabilidad al vapor de agua y gas es la clave. Del análisis anterior, podemos ver que la tira espaciadora termoplástica (TPS) tiene una capacidad de barrera de vapor de agua y gas muy excelente, y la durabilidad del sellado del vidrio aislante se mejorará si se utiliza para el sellado del borde del vidrio aislante.
Tomando el sistema de vidrio aislante de tres y dos cavidades como ejemplo, podemos ver en la Figura 11 que se han formado ocho interfaces de unión entre el sellador de vidrio aislante de aluminio de canal tradicional y el vidrio, así como el espaciador, mientras que solo se formarán cuatro interfaces de unión entre la tira espaciadora termoplástica (TPS) Sello y el vidrio. A partir del análisis del nivel actual de producción de vidrio aislante doméstico y nuestra situación de prueba a largo plazo, la mala adherencia del sellador, vidrio y el material espaciador es el camino principal que conduce al paso de vapor de agua y gas, es decir, Bajo la condición de que el vapor de agua y la permeabilidad del gas del material de sellado son los mismos, el sistema de sellado del espaciador termoplástico reduce el canal de transmisión de vapor de agua y gas debido a la reducción de la superficie de unión, para lograr la durabilidad a largo plazo del vidrio aislante.

Figura 11 Análisis de la interfaz de sellado y Unión de diferentes cristales aislantes
2,3 Estado de calidad actual del vidrio aislante en China
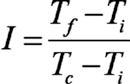
Índice de permeabilidad al agua (I) utilizado en el estándar nacional de vidrio aislante) Indica la vida útil del sellado de vapor de agua del vidrio aislante. Según el estándar, el valor promedio de I será mayor que 0,2; El contenido de argón después de la prueba de durabilidad se utiliza para expresar la vida útil del sello de gas.

T i Contenido inicial de humedad del desecante
T F Contenido de humedad final del desecanoT
T C Contenido de humedad estándar de desecante
¿Cuál es el valor del índice de permeabilidad al agua I? El valor se refiere a la relación entre la cantidad de vapor de agua externo que ingresa al vidrio aislante y su absorción efectiva en la prueba de durabilidad. El Índice de permeabilidad al agua I puede reflejar la capacidad de adsorción residual y la vida útil esperada del sistema de sellado de vidrio aislante; Ser capaz de evaluar exhaustivamente el sistema de vidrio aislante. Cuanto menor sea el valor I, mayor será la capacidad de adsorción residual del vidrio aislante y mayor será la vida útil del sellado.
El Centro Nacional de Inspección y Supervisión de Calidad de Vidrio ha realizado un análisis estadístico sobre los resultados de las pruebas de durabilidad de más de 300 sellos de vapor de agua de vidrio aislante en China en los últimos dos años. La distribución del valor I se muestra en la Figura 12. El valor medio del valor I es cercano al 15% y aproximadamente el 15% del valor I es mayor que 20%.

Figura 12 I estadísticas de valor de vidrio aislante doméstico
A principios de este siglo, la Asociación Europea de vidrio aislante UNI realizó un análisis estadístico de los resultados de las pruebas de sellado de la durabilidad del vapor de agua de los productos de vidrio aislante europeos (como se muestra en la Figura 13). A partir de la Figura 13, se puede ver que el valor medio está entre 4% y 5%. De los dos resultados estadísticos, se puede ver que todavía hay una gran brecha entre la vida útil general del sellado del vidrio aislante doméstico y la del vidrio aislante extraño.

Figura 13 I Value Statistics de vidrio aislante europeo UNI
En los últimos dos años, la calidad del vidrio de la habitación pasiva también ha atraído mucha atención. La Tabla 3 muestra los resultados de la prueba del Centro Nacional de Inspección y Supervisión de Calidad de Vidrio sobre la durabilidad del sellado de vapor de agua del vidrio tres y el vidrio aislante de dos cavidades en los últimos años. Se puede ver en la Tabla 3 que la brecha de calidad del vidrio aislante producido por diferentes empresas es relativamente grande, y el nivel de calidad general aún debe mejorarse. Si dicho vidrio se aplica a edificios pasivos, está lejos de cumplir con los requisitos de la misma vida útil que los edificios. Para resolver este problema, deberíamos comenzar con materiales y procesos, y también buscar estructuras de sellado más avanzadas.
NO | Configuración de vidrio | Ti | Tf | Iav |
1 | 3 Vidrio 2 cavidad | 0.027 | 0,0537 | 0.161 |
2 | Vacío IGU | 0,0418 | 0,0494 | 0,05 |
3 | 3 Vidrio 2 cavidad | 0,0286 | 0,0492 | 0.125 |
4 | Vacío IGU | 0.035 | 0,0529 | 0.128 |
5 | 3 Vidrio 2 cavidad | 0.021 | 0,0466 | 0,14 |
6 | 3 Vidrio 2 cavidad | 0.018 | 0,0591 | 0.233 |
El primer sistema de vidrio aislante de tiras espaciadoras termoplásticas (TPS) nació en 1974 en Komelin. Su producción industrial ha sido desde la década de 1990. En la actualidad, hay más de 100 líneas de producción de TPS en todo el mundo. También hay varias líneas de producción de vidrio aislante TPS espaciador termoplástico en funcionamiento en China. TLa primera línea de producción se puso en producción en 2011. El vidrio aislante del espaciador termoplástico y el producto TPS de nueva generación 4SG con resistencia estructural han sido reconocidos y aplicados preliminarmente en muros cortina estructurales, edificios comerciales, edificios residenciales, autobuses, automóviles y otros campos.
Desde sus inicios, el sistema termoplástico de la tira espaciadora (TPS) ha pasado la inspección y la certificación de estándares relevantes en muchos países alrededor del mundo, incluyendo el vidrio aislante japonés JIS R3209, método de prueba a largo plazo EN1279-2 estándar europeo para la permeabilidad del vapor de agua del vidrio aislante, Método de prueba a largo plazo de EN1279-3 estándar europeo para la permeabilidad del gas del vidrio aislante Método de prueba de EN1279-4 estándar europeo para las características físicas del sellado de bordes de vidrio aislante, ASTM773/774 de América del Norte, NFP78-451 francés/452, italiano UNI10593, alemán DIN1286 y otros estándares.
El vidrio aislante de este sistema de sellado es también el primer sistema de vidrio de dos cavidades de vidrio para pasar la prueba de retención de gas de EN1279.3, con tasas anuales de fuga de argón de 0.4% ~ 0.5%.
Para estudiar y analizar el rendimiento del vidrio aislante del sistema espaciador termoplástico y verificar sus ventajas en durabilidad, el Centro Nacional de Inspección y Supervisión de Calidad de Vidrio seleccionó el producto Separador Termoplástico 4SG producido por Kemelin Company, utilizado adhesivo estructural de silicona Dow Corning como sellador exterior, Y utilizó la 100 línea de producción ultra automática para producir la muestra de vidrio aislante inflable. De acuerdo con la durabilidad del sello de vapor de agua y la durabilidad del sello de gas en el estándar GB/T11944-2012, se probaron cinco ciclos estándar respectivamente.
(1) durabilidad del sello de vapor de agua
La prueba de cada ciclo consiste en ciclo alterno de alta y baja temperatura y temperatura constante y humedad. Etapa 1: 56 ciclos, un ciclo de temperatura cada 12 horas, la temperatura varía de-18 ℃ ± 2 ℃ a 53 ℃ ± 1 ℃; Etapa 2: la temperatura ambiente a 58 ℃ ± 1 ℃ Y la humedad relativa mayor que 95% se mantiene durante 7 semanas, y cada ciclo es de 77 días (Como se muestra en la Figura 14).

Figura 14 Ciclo de Durabilidad del sello de vapor de agua
En esta prueba, se colocan cinco grupos de muestras en la cámara de prueba de envejecimiento. Después de cada ciclo, se saca un grupo para la prueba final del contenido de humedad y se calcula el valor I. Unión Consulte La Tabla 4 para obtener resultados.
(2) durabilidad del sello de gas
En primer lugar, se prueba el contenido de argón inicial del vidrio aislante para la prueba de durabilidad, y los resultados se muestran en la Tabla 5.
Tabla 4 Resultados de la prueba de durabilidad de 5 ciclos de la tira espaciadora termoplástica (4SG)

Tabla 5 Resultados de la prueba del contenido inicial de argón de las muestras
No de muestra | Contenido inicial de argón (% V/V) |
1 # | 93.7% |
2 # | 93% |
En segundo lugar, de acuerdo con el método de prueba en GB/T11944-2012, la muestra se probó durante cinco ciclos y el contenido de argón se probó después de cada ciclo. Véase La Tabla 6 para los resultados de la prueba.
Tabla 6 Resultados de la prueba de contenido de argón de las muestras después del envejecimiento
Ciclo | No de muestra | Contenido de argón final (% V/V) |
1 ciclo | 1 # | Noventa y dos puntos ocho |
2 # | Noventa y dos puntos dos | |
2 ciclos | 1 # | Noventa y un punto nueve |
2 # | Noventa y un punto tres | |
3 ciclos | 1 # | Noventa y un punto dos |
2 # | Noventa puntos cinco | |
4 ciclos | 1 # | Noventa punto cuatro |
2 # | Ochenta y nueve punto siete | |
5 ciclos | 1 # | Ochenta y nueve punto seis |
2 # | Ochenta y nueve |
A partir de los resultados de la prueba, tanto el índice de permeabilidad al agua como el contenido de argón del vidrio aislante de la tira espaciadora termoplástica (4SG) el sistema aún puede cumplir con los requisitos de la norma nacional después de cinco ciclos de envejecimiento. Los resultados de la prueba del índice de permeabilidad al agua después de cinco ciclos son mejores que los resultados de la prueba del ciclo estándar actual de las estructuras de sellado tradicionales en China, el contenido de gas solo disminuyó en aproximadamente 4%, Indicando que la vida útil del vidrio aislante en este sistema será mucho más larga que la del vidrio aislante actual de la estructura de sellado principal en China.
Desde el análisis teórico hasta los resultados de las pruebas, se muestra que la tira espaciadora termoplástica (TPS) es una nueva generación de material de sellado de bordes de vidrio aislante. Este Sistema de vidrio aislante puede mejorar la vida útil del vidrio aislante y mejorar el efecto de borde del vidrio aislante, que debe promoverse vigorosamente. Sin embargo, en la actualidad, se importan tanto el material de sellado del espaciador termoplástico como el equipo de producción automática para producir el vidrio aislante con la estructura de sellado, Y el precio es una de las principales razones que restringen la popularización y aplicación del vidrio aislante del espaciador termoplástico (TPS). En la actualidad, China todavía está en la etapa de investigación y desarrollo de equipos e investigación de materiales, y no ha realizado la producción industrial. Con el aumento de la comprensión de las personas sobre el rendimiento superior del vidrio aislante espaciador termoplástico y la mejora adicional del nivel de investigación e industrialización nacional, su perspectiva de aplicación será cada vez más extensa.
Referencia:
[1] Instituto de investigación y diseño de la industria del vidrio de Qinhuangdao, vidrio aislante (GB/T11944-2012), prensa de estándares de China.
[2] Dr.Chritian Scherer, Ernst Smar, etc., un nuevo sistema de bordes cálidos con eficiencia y durabilidad de energía superior, GPD Glass Performance Days 2015.
[3] Li Jing, innovador sistema de sellado de espaciadores para muro cortina 4SG, discurso de la Conferencia Anual de cristal de China 2017.
[4] Yuan Peifeng, et al., Ventajas de rendimiento del vidrio aislante de borde caliente termoplástico, Actas DE 2017 Conferencia Anual y seminario técnico de la industria del vidrio de China.